The Feldera Blog
An unbounded stream of technical articles from the Feldera team
Incremental Update 9
Emit final! A quick overview of what's new in v0.29.
Taking the short path to streaming on the GPU with DBSP
Community post: DBSP is simple, general, and provides a practical mental model to the cost, both in time and in data, of computations. In this post we will put this to practice by leveraging a Python implementation of DBSP to implement incremental relational operators that show noticeable speed improvements.
Incremental Update 8
UDFs! A quick overview of what's new in v0.28.
LATENESS in streaming programs
Designing a new programming language is risky, so reusing a well-known one is usually better. Streaming systems have embraced SQL for stream processing, so we introduce a LATENESS type annotation to filter out-of-order data with a very precise definition of its behavior.
Incremental Update 7
Log Endpoints, N-Way Merging, and More! A quick overview of what's new in v0.27.
A year of magic
Announcing our rebrand, new website, and introducing Fred.
Where was Waldo (when his card was swiped)?
What was the stock price at the moment of the transaction? How far was the credit card swiped from the last known location? What was the account balance just before the transfer? These queries, common in time series analytics problems like fraud detection, can be expressed in SQL using a specialized operator: the as-of join.
Incremental Update 6 at Feldera
We’re excited to announce the release of v0.26, which represents a significant step forward for Feldera. This release includes over 200 commits, adding 25,000 lines of new code and documentation. Let's dive into the highlights!
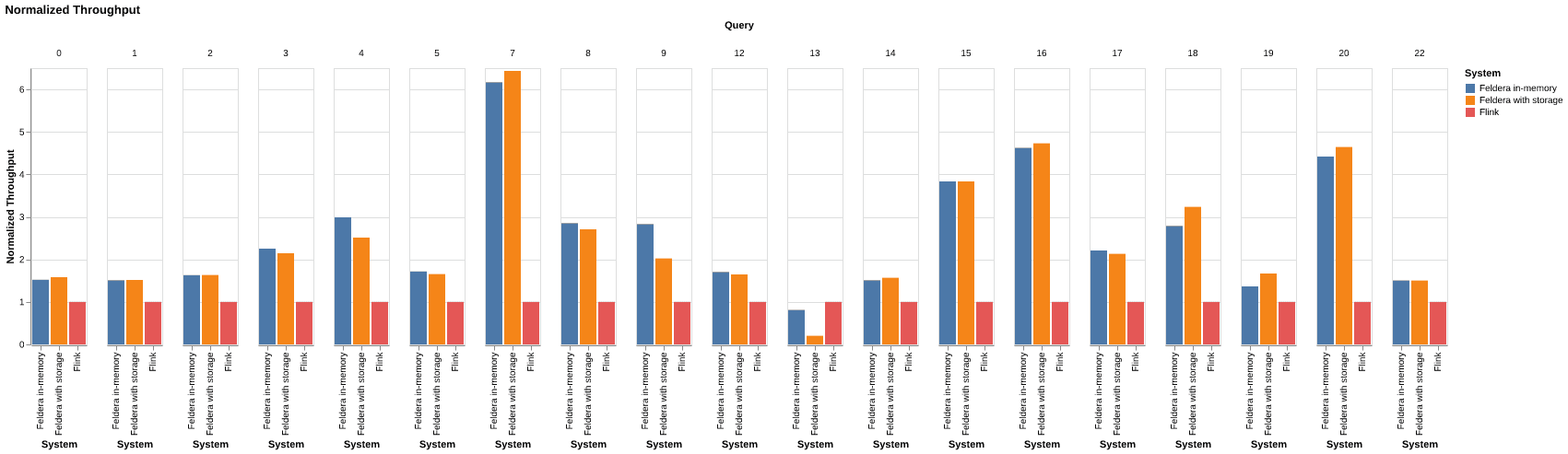
Feldera performance on Nexmark versus Flink
Feldera is up to 6.2X faster than Flink for Nexmark queries





